Solving Quadratics By Factoring Worksheet Answer Key
Olivia Luz
Answer keys view answer keys all the answer keys in one file.
Algebra 1 solving quadratic equations by factoring worksheet. 1 x2 9x 18 0 2 x2 5x 4 0 3 n2 64 0 4 b2 5b 0 5 35n2 22n 3 0 6 15b2 4b 4 0 7 7p2 38p 24 0 8 3x2 14x 49 0 9 3k2 18k 21 0 10 6k2 42k 72 0 11 x2 11x 28 12 k2 15k 56. 4 3 practice key pdf name date period solving. Factoring trinomials puzzle activity freebie factoring quadratics activities factoring quadratics factor trinomials.
Math worksheets go quadratic formula answers elegant solve quadratic i can factor using gcf. Solving quadratic equations by graphing worksheet answer key. 4x2 17x 15 11. Elementary algebra skill solving quadratic equations by factoring solve each equation by factoring.
Solving using the quadratic formula worksheet answer key along with unique solving quadratic equations by factoring worksheet elegant. Solving using the quadratic formula worksheet answer key along with unique solving quadratic equations by factoring worksheet elegant. Alg 2 4 3 solving quadratic equations by factoring. Solve quadratic equations by completing the square.
RELATED ARTICLE :
- st john the baptist de la salle prayer
- st joseph prayer to sell my house
- st martin s guide to writing 11th edition online
Solving quadratic equations by factoring date period solve each equation by factoring. 4x2 17x 15 11. Decompose the constant term 24 into two factors such that the product of the two factors is equal to 24 and the addition of two factors is equal to the coefficient of x that is 5. Quadratic formula worksheet real solutions quadratic formula worksheet complex solutions.
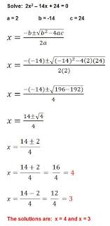
Decompose the constant term 24 into two factors such that the product of the two factors is equal to 24 and the addition of two factors is equal to the coefficient of x that is 5. If a student is new to the quadratic formula he or she can refer to the answer key first before using the application. 2x3 216x 18x 10. Best worksheet ideas quadratics quadratic.
Solved kuta infinite algebra 2 name solving quad. Solving quadratics by factoring worksheet answers. X2 14x 40 4. Pin by math teacher on algebra high school algebra school algebra algebra worksheets.
RELATED ARTICLE :
- can i watch free movies with amazon prime
- can i use whipping cream instead of heavy cream in cheesecake
- can i use windex on my car
Then after learning the quadratic formula the student can apply it.
Source : pinterest.com



