Sn1 Sn2 E1 E2 Practice Problems Pdf
Camila Farah
Nai 3 3 cl kcn dmso cn br naoh h2o heat brh 2o oh i ch3ch2o na ethanol hi nash dmso hsh br ho koh dmso ots nanh2 nh3 tso nh3 h2n o o ch ch3 tso acetone o o ch ch3 i.
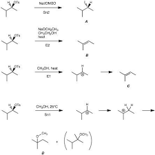
3 is most substituted secondary vs primary alkyl halide slowest in sn2 reaction. This covers the competition between s n 1 s n 2 nucleophilic substitution and e1 e2 elimination reactions. In this practice problem you will need to determine the major organic product and the mechanism of each reaction. 2 ch3ch2ch2ch2br k oc ch3 3 ch3 3coh 82º c ch3ch2ch ch2 e2 ch3ch2ch2ch2br na och3 ch3oh 0º c ch3ch2ch2ch2och3 sn2 high t good base low t good nu or base cl na sch2ch3 dmf 0º c sch2ch3 sn2 olw t good nu ch3i nano2 5º.
Sn1 e1 more substituted lg faster can still happen on less substituted primary carbons with delocalization however. Sn2 do not draw out the mechanism koc ch3 3 in ch3 3coh b ots c br br ch3ch2ch2oh warm d ch 3 ch2ch3 h ots kcn. Practice reactions from ch 11 sn2 e2 sn1 e1 give the major organic product of the following reactions also state the mechanism through which each reaction proceeds e g. Organic chemistry i practice exercise.
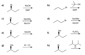
Chm 211 substitution and elimination practice problems analyze the. Read online practice problems on sn1 sn2 e1 e2 book pdf free download link book now. Sn1 only b sn2 only c e1 only d e2 only e both sn1 and e1 16 which mechanism s give s alkenes as the major products sn1 sn2 e1 or e2. Draw a curved arrow mechanism for each reaction.
RELATED ARTICLE :
- can i eat noodles after tongue piercing
- can i dye my hair two days in a row the same color
- can i dye my hair when pregnant uk
Describe the following chemical reactions as s n1 s n2 e1 e 2. The rate increases as ch3i increases. This site is like a library you could find million book here by. Sn1 sn2 e1 or e2 of each reaction.
Practice problems on s n1 s n2 e1 e2 answers 1. Practice problems on s n1 s n2 e1 e2 1. Cl hc c na h na cl cl. Describe the following chemical reactions as s n1 s n2 e1 e 2.
Sn1 sn2 e1 e2 practice problems pdf search pdf books free download free ebook and manual for business education finance inspirational novel religion social sports science technology holiday medical daily new pdf ebooks documents ready for download all pdf documents are free the biggest database for free books and documents search with fast results better than any online library. Acid base reaction are faster than all of these. Download practice problems on sn1 sn2 e1 e2 book pdf free download link or read online here in pdf. All books are in clear copy here and all files are secure so don t worry about it.
Source : pinterest.com


